TS
gareszt_encrew
PROBLEM SOLVING - tempat bertanya PR Kaskuser (SD, SMP, SMA) - Part 4
We only provide homework help to those who show effort
talkstats.com
Untuk Pendidikan Indonesia yang Lebih Baik
Ayo-ayo ada yang mau tanya PR atau soal apapun???
RULE :
1. Sebelum bertanya, pastikan anda telah mengerjakan problem dengan usaha anda sendiri, sampaikan ke kami anda terhambat di bagian mananya, jangan terlalu berharap cepat mendapatkan jawaban karena disini orang yang suka bantu-bantu jawab ga 24 jam online terus

2. Untuk yang mau jawab, pastikan jangan langsung memberikan jawaban secara gamblang, jawaban secara gamblang tidak membuat orang yang bertanya disini mengerti. Tentu tujuan dari dibuatnya thread ini akan jauh melenceng.
3. Bagi pertanyaan yang belum dijawab, hanya diizinkan untuk nyundul pertanyaannya satu kali tiap dua hari, itupun kalau memang belum ada yang waro atau bahas. Kalau tetep nekat nyundul pertanyaannya lebih dari sekali dalam 2 hari, minimal akan request delete post
-------------------------
Pesan Dari Momod
Quote:
-------------------------
Tentang Memasukkan Equation di Thread Ini
- kalau jawaban ada equationnya, gw usahain tampilin equationnya disini contohnya
Cara memasukkan equation ke thread
Quote:
Thread tutorial memakai LaTeX http://www.kaskus.co.id/showthread.php?t=8268867
semoga thread ini dapat membantu kaskuser

Problem Solving Part 1 http://kask.us/2793208
tiokyapcing dan 16 lainnya memberi reputasi
17
229.6K
1.5K
Komentar yang asik ya
Mari bergabung, dapatkan informasi dan teman baru!
Education
23.3KThread•16.2KAnggota
Tampilkan semua post
ddikodroid
#1306

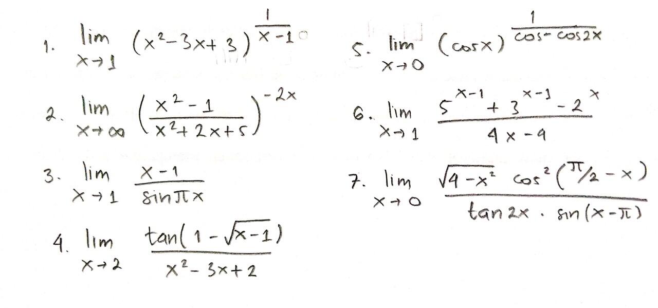
mohon bantuannya gan

terus yg nomor 6 itu apa jawabannya divergen?
.d.d memberi reputasi
1
Tutup
