- Beranda
- Stories from the Heart
ANDAI - Cerita Fiksi Time Travel Bersambung
...
TS
okarin89
ANDAI - Cerita Fiksi Time Travel Bersambung

Salam untuk semua penghuni Kaskus khususnya semua penghuni SFTH
Mohon izinkan Okarin membuat cerita bergenre Fiksi Futuristik ya. Ceritanya ini bersifat Fiksi jadi tidak perlu ditanyakan dan diperdebatkan ya.
Jika suka ya tolong beri cendol supaya semangat. Moga-moga nggak kentang ya karena ceritanya lumayan njelimet.
Jika suka dengan cerita Okarin tolong beri Okarin cendol yang banyak ya en rate bintang lima supaya Okarin tambah semangat nulisnya.
Spoiler for Prolog:
CHAPTER INDEX
DAFTAR GARIS DUNIA
DAFTAR GARIS WAKTU
CHAPTER 1 : YA GITU DEH !
CHAPTER 2 : TITIK PERTEMUAN
CHAPTER 3 : HAH !!!!!!!
CHAPTER 4 : WAKTU YANG BERJALAN MUNDUR
CHAPTER 5 : ADA APA DENGAN RALINE ?
CHAPTER 6 : PESAWAT YANG JATUH BAGIAN 1& BAGIAN 2
CHAPTER 7 : MEMBUAT MESIN WAKTU SEBENARNYA 1 BAGIAN 1 & BAGIAN 2
CHAPTER 8 : KEINGINAN TERDALAM JULIE BAGIAN 1 , 2 , 3 , 4 , 5 , 6 , 7 , 8 , 9 , 10 , 11 ,12 ,13
Diubah oleh okarin89 17-08-2019 20:45
bonita71 dan 13 lainnya memberi reputasi
8
71.2K
427
Komentar yang asik ya
Mari bergabung, dapatkan informasi dan teman baru!
Stories from the Heart
32.8KThread•52.8KAnggota
Tampilkan semua post
TS
okarin89
#271
CHAPTER 8 - KEINGINAN TERDALAM JULIE BAGIAN 13
Kamar Garin, Selasa 22 Januari 2075 pukul 08:23 WIB

“Selamat Pagi Kak Garin !”. sapa Uta sambil membawakan sarapan buat Garin berupa nasi goreng teriyaki plus satu gelas susu.
“Apa yang elo lakuin pagi-pagi di sini Uta ?”. tanya Garin heran sambil garuk-garuk kepala dan kemudian berusaha beranjak bangun dari tempat tidurnya.
“Uta disuruh kak Seno untuk jemput Kak Garin !”. jawab Utakata sekenanya.
“Itulah nasib ilmuwan terkenal di dunia selalu diperlakukan istimewa !!! ... HAHAHAHAHA !!!!! ... HAHAHAHAHA !!!!! ... HAHAHAHAHA !!!!!”. kata Garin super pede sambil tertawa keras dengan kedua tangan ditempelkan di pinggang namun tiba-tiba ia jatuh terduduk karena kepalanya terasa berat.
“AYAAAAAH !!!!! ... AYAH !!!!!!! ... AYAH TIDAK APA-APA ?!!!!”. kata Utakata dengan super panik sambil mengangkat tubuh Garin pelan-pelan dan meletakkannya pelan-pelan di atas tempat tidur.
“Makasih banyak Uta ! ... Ngomong-ngomong kenapa elo manggil gue dengan sebutan “Ayah” ?”. kata Garin super penasaran.
“Iiitu ! ... iiitu ! ... iiitu ! ... iiitu !”. jawab Utakata tergagap atas pertanyaan Garin barusan.
“Nggak apa-apa kalo elo nggak mau jawab tapi gue yakin kalo Ayah loe adalah sosok yang hebat !”. kata Garin dengan nada sok bijak.
“Iya !”. tanggap Utakata pendek sambil menatap wajah Garin dengan mata berkaca-kaca.
“Apa nasi gorengnya boleh dimakan Uta ? ... Sepertinya sangat lezat !”. tanya Garin sambil nunjuk nasi goreng teriyaki yang ada di atas meja kabinet.
“Silakan kak Garin khan memang buat kak Garin !”. jawab Utakata sekenanya.
“Selamat Makan ! ... اللهُم بَارِكْ لَنَا فِيمَا رَزَقْتَنَا، وَقِنَا عَذَابَ النارِ”. kata Garin antusias sambil menengadahkan kedua tangannya dan tidak lama kemudian ia menikmati nasi goreng teriyaki buatan Utakata dengan sangat lahap seperti orang yang sangat kelaparan.
“Apa kamu juga belum makan Uta ?”. tanya Garin dengan ekspresi wajah heran campur bingung pada Utakata yang terus menatapnya saat ia tengah menikmati nasi goreng teriyaki makanan favoritnya sedari kecil.
“Sudah kak Garin !”. jawab Utakata kalem.
“Kini waktunya kita ke Lab ! ... ILMUWAN SUPER TERKENAL INDONESIA AKAN DATANG !!!!! ... HAHAHAHAHA !!!!! ... HAHAHAHAHA !!!!!”. kata Garin dengan semangat yang super berapi-api sambil memakai jubah putih kebesarannya.
“Mana kunci mobilnya Kak Garin ?”. tanya Utakata.
“Untuk apa kunci mobil ?”. jawab Garin dengan pertanyaan juga.
“Uta akan mengantarkan kak Garin ke Lab dengan mobil ! ... Uta bisa nyetir mobil !”. jawab Utakata mantap.
“Kita akan ke Lab dengan berlari ! ... Siapa yang sampai duluan dialah juaranya !”. kata Garin dengan super optimis.
“Tapi kak !”. seru Utakata dengan nada khawatir atas kondisi fisik Garin yang terlihat belum pulih benar.
“AYOLAH UTA !!!!!”. bujuk Garin dengan super berapi-api.
“Baiklah kak !”. kata Utakata pendek sambil menganggukkan kepalanya.
“LUMPIA !!!!! ... PISANG !!!!! ... COMBRO !!!!!”. seru Garin berapi-api saat memberikan aba-aba sambil memasang kuda-kuda.
Sementara itu di Lab Masa Depan Lantai Basement pukul 08:23 WIB

“Apa Garin akan datang ?”. tanya Yaya pada Seno yang tengah sibuk mengcompile dalam proses upgrading aplikasi Time Scanner berbasis Windows versi 0.9.9.
“Elo kangen ya ?”. jawab Seno dengan sebuah pertanyaan jebakan.
“BUKAN URUSAN LOE !”. jawab Yaya ketus sambil menjitak kepala Seno dengan cukup keras.
“Yaya ciahaaat !”. ringis Seno sambil mengelus-elus bagian kepalanya yang kena jitak Yaya.
“Apa loe paham soal dilatasi waktu en kaitannya dengan teori relativitas waktu Kenji ?”. tanya Seno pada Kenji yang sedari tadi tidak terdengar suaranya.
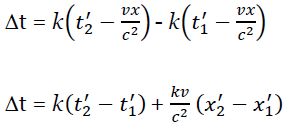
“Dilatasi waktu jika dilihat dari kacamata teori relativitas Einstein adalah perbedaan selang waktu berlalu antara dua buah peristiwa yang diukur oleh dua orang pengamat atau lebih yang dipengaruhi massa gravitasi pada tempat yang sama. Jika dirumuskan secara fisika seperti ini => selang waktu Δt0 antara dua kejadian yang terjadi pada tempat yang sama (x2= x1) dalam kerangka acuan S’ diukur menjadi Δt0. Dari rumus persamaan waktu yang ada di bawah ini

maka
selang waktu Δt antara kedua kejadian yang diukur dalam kerangka acuan S adalah Δt = t2 – t1

karena x’2 = x’1 maka x’2 - x’1 = 0, jadi
Δt = k(t’ 2 - t’ 1)
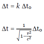
karena t’ 2 - t’ 1 = Δt0 maka

dengan keterangan sebagai berikut ini :
Δt = selang waktu jarum jam bergerak terhadap kejadian.
Δt0 = selang waktu jarum jam diam terhadap kejadian.
Tetapan nilai konstanta k adalah bilangan memiliki nilai yang lebih besar dari 1 sehingga dalam persamaan di atas, nilai konstanta Δt selalu lebih besar daripada nilai konstanta Δt0. Jadi kesimpulannya, bahwa selang waktu yang diamati oleh jam yang bergerak terhadap kejadian adalah lebih lama daripada selang waktu yang diamati oleh jam yang diam terhadap kejadian (Δt > Δt0). Peristiwa ini namanya dilatasi waktu”. terang Kenji dengan panjang lebar.
“Njelimet juga yah !”. kata Seno sambil garuk-garuk kepala sambil berusaha mencerna dengan apa yang diterangkan oleh Kenji barusan.
“Siapa yang ngajarin loe fisika Ken kalo gue boleh tahu ?”. tanya Yaya penasaran.
“Ayah Kenji Mbak Yaya !”. jawab Kenji sambil memasang tampang sedih.
“Pasti dia sosok Ayah yang super hebat !”. puji Yaya.
“Iya Mbak Yaya !”. timpal Kenji.
“Apa saat ini Ayah loe belum ada kabar beritanya ?”. selidik Yaya.
“Belum Mbak !”. jawab Kenji pendek.
“Terus Ayah Utakata apa tidak ada kabarnya juga ?”. tanya Yaya penuh selidik.
“Belum ada kabar juga Mbak !”. jawab Kenji.
“Apa Ayah loe dan Ayah Utakata saling kenal ?”. tanya Yaya lagi karena makin penasaran.
“Iya Mbak !”. jawab Kenji pendek.
“Udeh akting polisi-polisiannya ya ! ... Kenji gueh pinjam dulu bentar !”. kata Seno sambil nyengir ke Yaya.
“Monggo Mas Seno !”. kata Yaya dengan logat Jawa kental.
“Gueh udah buat beberapa parameter tambahan kayak energi elektromagnetik bermuatan negatif dan positif, injeksi electron untuk mengubah massa dan gaya gravitasi, pendingin dan sistem ventilasi X-ray, sistem VGL untuk sensor gravitasi, empat buah jam cesium, dan tiga buah server Orikel !”. terang Seno dengan panjang lebar.
“Sepertinya ada yang kurang Kak Seno !”. kata Kenji sambil berpikir keras apa parameter yang kurang.
“Apa tidak apa-apa menggunakan server Orikel Seno ?”. tanya Yaya sedikit takut.
“Tidak ada pilihan lain ya !”. jawab Seno sekenanya.
“Parameter pemindaian lobus frontal dan lobus temporal untuk memindahkan memori dan ingatan yang ada di masa sekarang ke memori dan ingatan yang ada di masa lalu secara digital sepertinya itu juga penting no !”. tambah Yaya.
“Duh gueh nggak kepikiran itu ya ! ... Makasih ya !”. kata Seno sambil menoleh ke Yaya.
“Terus parameter alat pemindainya apa Mbak Yaya ?”. tanya Kenji sedikit bingung.
“Yang pasti bisa memindai ke Frontal Lobus dan Temporal Lobus secara keseluruhan !”. jawab Yaya serius.
“Bagaimana kalau Helm ?”. celetuk Seno sambil muter-muterin jari telunjuk kanannya di atas kepalanya.
“JENIUS !!!!!!!”. puji Yaya sambil jitak kepala Seno.
“Lhoh kok Gueh dijitak ya !”. kata Seno meringis kesakitan.

“Selamat Pagi Kak Garin !”. sapa Uta sambil membawakan sarapan buat Garin berupa nasi goreng teriyaki plus satu gelas susu.
“Apa yang elo lakuin pagi-pagi di sini Uta ?”. tanya Garin heran sambil garuk-garuk kepala dan kemudian berusaha beranjak bangun dari tempat tidurnya.
“Uta disuruh kak Seno untuk jemput Kak Garin !”. jawab Utakata sekenanya.
“Itulah nasib ilmuwan terkenal di dunia selalu diperlakukan istimewa !!! ... HAHAHAHAHA !!!!! ... HAHAHAHAHA !!!!! ... HAHAHAHAHA !!!!!”. kata Garin super pede sambil tertawa keras dengan kedua tangan ditempelkan di pinggang namun tiba-tiba ia jatuh terduduk karena kepalanya terasa berat.
“AYAAAAAH !!!!! ... AYAH !!!!!!! ... AYAH TIDAK APA-APA ?!!!!”. kata Utakata dengan super panik sambil mengangkat tubuh Garin pelan-pelan dan meletakkannya pelan-pelan di atas tempat tidur.
“Makasih banyak Uta ! ... Ngomong-ngomong kenapa elo manggil gue dengan sebutan “Ayah” ?”. kata Garin super penasaran.
“Iiitu ! ... iiitu ! ... iiitu ! ... iiitu !”. jawab Utakata tergagap atas pertanyaan Garin barusan.
“Nggak apa-apa kalo elo nggak mau jawab tapi gue yakin kalo Ayah loe adalah sosok yang hebat !”. kata Garin dengan nada sok bijak.
“Iya !”. tanggap Utakata pendek sambil menatap wajah Garin dengan mata berkaca-kaca.
“Apa nasi gorengnya boleh dimakan Uta ? ... Sepertinya sangat lezat !”. tanya Garin sambil nunjuk nasi goreng teriyaki yang ada di atas meja kabinet.
“Silakan kak Garin khan memang buat kak Garin !”. jawab Utakata sekenanya.
“Selamat Makan ! ... اللهُم بَارِكْ لَنَا فِيمَا رَزَقْتَنَا، وَقِنَا عَذَابَ النارِ”. kata Garin antusias sambil menengadahkan kedua tangannya dan tidak lama kemudian ia menikmati nasi goreng teriyaki buatan Utakata dengan sangat lahap seperti orang yang sangat kelaparan.
“Apa kamu juga belum makan Uta ?”. tanya Garin dengan ekspresi wajah heran campur bingung pada Utakata yang terus menatapnya saat ia tengah menikmati nasi goreng teriyaki makanan favoritnya sedari kecil.
“Sudah kak Garin !”. jawab Utakata kalem.
“Kini waktunya kita ke Lab ! ... ILMUWAN SUPER TERKENAL INDONESIA AKAN DATANG !!!!! ... HAHAHAHAHA !!!!! ... HAHAHAHAHA !!!!!”. kata Garin dengan semangat yang super berapi-api sambil memakai jubah putih kebesarannya.
“Mana kunci mobilnya Kak Garin ?”. tanya Utakata.
“Untuk apa kunci mobil ?”. jawab Garin dengan pertanyaan juga.
“Uta akan mengantarkan kak Garin ke Lab dengan mobil ! ... Uta bisa nyetir mobil !”. jawab Utakata mantap.
“Kita akan ke Lab dengan berlari ! ... Siapa yang sampai duluan dialah juaranya !”. kata Garin dengan super optimis.
“Tapi kak !”. seru Utakata dengan nada khawatir atas kondisi fisik Garin yang terlihat belum pulih benar.
“AYOLAH UTA !!!!!”. bujuk Garin dengan super berapi-api.
“Baiklah kak !”. kata Utakata pendek sambil menganggukkan kepalanya.
“LUMPIA !!!!! ... PISANG !!!!! ... COMBRO !!!!!”. seru Garin berapi-api saat memberikan aba-aba sambil memasang kuda-kuda.
Sementara itu di Lab Masa Depan Lantai Basement pukul 08:23 WIB

“Apa Garin akan datang ?”. tanya Yaya pada Seno yang tengah sibuk mengcompile dalam proses upgrading aplikasi Time Scanner berbasis Windows versi 0.9.9.
“Elo kangen ya ?”. jawab Seno dengan sebuah pertanyaan jebakan.
“BUKAN URUSAN LOE !”. jawab Yaya ketus sambil menjitak kepala Seno dengan cukup keras.
“Yaya ciahaaat !”. ringis Seno sambil mengelus-elus bagian kepalanya yang kena jitak Yaya.
“Apa loe paham soal dilatasi waktu en kaitannya dengan teori relativitas waktu Kenji ?”. tanya Seno pada Kenji yang sedari tadi tidak terdengar suaranya.
“Dilatasi waktu jika dilihat dari kacamata teori relativitas Einstein adalah perbedaan selang waktu berlalu antara dua buah peristiwa yang diukur oleh dua orang pengamat atau lebih yang dipengaruhi massa gravitasi pada tempat yang sama. Jika dirumuskan secara fisika seperti ini => selang waktu Δt0 antara dua kejadian yang terjadi pada tempat yang sama (x2= x1) dalam kerangka acuan S’ diukur menjadi Δt0. Dari rumus persamaan waktu yang ada di bawah ini

maka
selang waktu Δt antara kedua kejadian yang diukur dalam kerangka acuan S adalah Δt = t2 – t1

karena x’2 = x’1 maka x’2 - x’1 = 0, jadi
Δt = k(t’ 2 - t’ 1)
karena t’ 2 - t’ 1 = Δt0 maka

dengan keterangan sebagai berikut ini :
Δt = selang waktu jarum jam bergerak terhadap kejadian.
Δt0 = selang waktu jarum jam diam terhadap kejadian.
Tetapan nilai konstanta k adalah bilangan memiliki nilai yang lebih besar dari 1 sehingga dalam persamaan di atas, nilai konstanta Δt selalu lebih besar daripada nilai konstanta Δt0. Jadi kesimpulannya, bahwa selang waktu yang diamati oleh jam yang bergerak terhadap kejadian adalah lebih lama daripada selang waktu yang diamati oleh jam yang diam terhadap kejadian (Δt > Δt0). Peristiwa ini namanya dilatasi waktu”. terang Kenji dengan panjang lebar.
“Njelimet juga yah !”. kata Seno sambil garuk-garuk kepala sambil berusaha mencerna dengan apa yang diterangkan oleh Kenji barusan.
“Siapa yang ngajarin loe fisika Ken kalo gue boleh tahu ?”. tanya Yaya penasaran.
“Ayah Kenji Mbak Yaya !”. jawab Kenji sambil memasang tampang sedih.
“Pasti dia sosok Ayah yang super hebat !”. puji Yaya.
“Iya Mbak Yaya !”. timpal Kenji.
“Apa saat ini Ayah loe belum ada kabar beritanya ?”. selidik Yaya.
“Belum Mbak !”. jawab Kenji pendek.
“Terus Ayah Utakata apa tidak ada kabarnya juga ?”. tanya Yaya penuh selidik.
“Belum ada kabar juga Mbak !”. jawab Kenji.
“Apa Ayah loe dan Ayah Utakata saling kenal ?”. tanya Yaya lagi karena makin penasaran.
“Iya Mbak !”. jawab Kenji pendek.
“Udeh akting polisi-polisiannya ya ! ... Kenji gueh pinjam dulu bentar !”. kata Seno sambil nyengir ke Yaya.
“Monggo Mas Seno !”. kata Yaya dengan logat Jawa kental.
“Gueh udah buat beberapa parameter tambahan kayak energi elektromagnetik bermuatan negatif dan positif, injeksi electron untuk mengubah massa dan gaya gravitasi, pendingin dan sistem ventilasi X-ray, sistem VGL untuk sensor gravitasi, empat buah jam cesium, dan tiga buah server Orikel !”. terang Seno dengan panjang lebar.
“Sepertinya ada yang kurang Kak Seno !”. kata Kenji sambil berpikir keras apa parameter yang kurang.
“Apa tidak apa-apa menggunakan server Orikel Seno ?”. tanya Yaya sedikit takut.
“Tidak ada pilihan lain ya !”. jawab Seno sekenanya.
“Parameter pemindaian lobus frontal dan lobus temporal untuk memindahkan memori dan ingatan yang ada di masa sekarang ke memori dan ingatan yang ada di masa lalu secara digital sepertinya itu juga penting no !”. tambah Yaya.
“Duh gueh nggak kepikiran itu ya ! ... Makasih ya !”. kata Seno sambil menoleh ke Yaya.
“Terus parameter alat pemindainya apa Mbak Yaya ?”. tanya Kenji sedikit bingung.
“Yang pasti bisa memindai ke Frontal Lobus dan Temporal Lobus secara keseluruhan !”. jawab Yaya serius.
“Bagaimana kalau Helm ?”. celetuk Seno sambil muter-muterin jari telunjuk kanannya di atas kepalanya.
“JENIUS !!!!!!!”. puji Yaya sambil jitak kepala Seno.
“Lhoh kok Gueh dijitak ya !”. kata Seno meringis kesakitan.
1