- Beranda
- Programmer Forum
Daftar Soal Algoritma Pemrograman (ALPRO)
...
TS
DarknessTalic
Daftar Soal Algoritma Pemrograman (ALPRO)
Soal :
Soal Fizz Buzz
Soal angka spiral
Konversi angka menjadi kata
Persegi dari input
Segitiga
Variasi pola 1
Variasi pola 2
Pola T dan Segitiga sama kaki
Menghitung jumlah kata
Memisah kata
Memecah karakter
Jawaban :
Fizz buzz :
Pseudo-code
Angka spiral
Pseudo-code
Another pseudo-code
Konversi angka menjadi kata
Pseudo-code
Persegi dari input
Pseudo-code
Segitiga
C
Variasi pola 1
C (1-3)
Pseudo-code
Variasi pola 2
Pseudo-code
Pola T dan Segitiga sama kaki
Pseudo-code
Menghitung jumlah kata
Pseudo-code
Memisah kata
Pseudo-code
Memecah karakter
Pseudo-code
Pascal
Pseudo-code
Soal + Jawaban deret kuadrat
Soal + Jawaban kotak dari bintang
Soal + Jawaban deret 121
Soal + Jawaban segitiga dari bintang (Perbaikan jawaban)
Soal + Jawaban validasi password sederhana
BFS
Soal Fizz Buzz
Soal angka spiral
Konversi angka menjadi kata
Persegi dari input
Segitiga
Variasi pola 1
Variasi pola 2
Pola T dan Segitiga sama kaki
Menghitung jumlah kata
Memisah kata
Memecah karakter
Jawaban :
Fizz buzz :
Pseudo-code
Angka spiral
Pseudo-code
Another pseudo-code
Konversi angka menjadi kata
Pseudo-code
Persegi dari input
Pseudo-code
Segitiga
C
Variasi pola 1
C (1-3)
Pseudo-code
Variasi pola 2
Pseudo-code
Pola T dan Segitiga sama kaki
Pseudo-code
Menghitung jumlah kata
Pseudo-code
Memisah kata
Pseudo-code
Memecah karakter
Pseudo-code
Pascal
Pseudo-code
Soal + Jawaban deret kuadrat
Soal + Jawaban kotak dari bintang
Soal + Jawaban deret 121
Soal + Jawaban segitiga dari bintang (Perbaikan jawaban)
Soal + Jawaban validasi password sederhana
BFS
nona212 memberi reputasi
1
217.7K
3.3K
Komentar yang asik ya
Mari bergabung, dapatkan informasi dan teman baru!
Programmer Forum
20.2KThread•4.9KAnggota
Tampilkan semua post
xoriuz
#36
Quote:
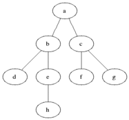
ilustrasinya gan:

breadth first search itu metode pencarian menyebar lebih dahulu baru kedalam.. sesuai dengan gambaran diatas, jadi ke kanan lebih dahulu, sampai semua node dalam satu level selesai di cek, baru menuju node di dalamnya.
Code:
function bfs(root) {
var queue;
queue.enqueue(root);
while (queue.length > 0) {
var node = queue.dequeue();
if (node == searchkeyword) {
return node;
}
else {
for (var i=0; i<node.children.length; i++) {
queue.enqueue(node.children[i]);
}
}
}
return null;
}
cara panggilnya:
var result = bfs(root);
if (result==null) {
// hasil search tidak ditemukan
}
else {
// hasil ditemukan
}
semoga berguna gan.. CMIIW

0
