PROBLEM SOLVING - tempat bertanya PR Kaskuser (SD, SMP, SMA) - Part 4
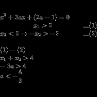
kalo gini gimana ya agan bridge? tapi ane dapet hasilnya beda juga :ngakaks http://s.kaskus.id/images/2016/05/30/1396769_20160530050336.gif http://s.kaskus.id/images/2016/05/30/1396769_20160530050352.gif x1 > 2...............(pertidaksamaan 1) x2 < 2 -x2 > -2..............(pertidaksama