PROBLEM SOLVING - tempat bertanya PR Kaskuser (SD, SMP, SMA) - Part 3
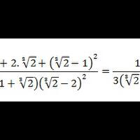
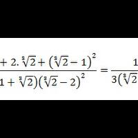
Gan minta tolong pembuktian yang ruas kiri kok bisa jadi ruas kanan, gimana ya caranya, ane udah utek2 ga nemu :sorry:sorry http://s.kaskus.id/images/2013/12/09/2392011_20131209103252.jpg thank you :ngakak