Gimana Cara Nyari Panjang DFnya gan ? http://s.kaskus.id/images/2013/12/07/5842072_20131207110404.png
orang" sekarang yg cerdas cuma orang" yg punya tekad , ane ngerasain banget temen ane kok pada susah ya ngitung , temen" ane kebanyakan ga suka pel matematika dan fisika karena mereka benci rumus / itungan ckkckck klo ane justru kebalikannya mending mat ama fis yang bisa ngerjain s...
karena patokannya sudut yang sama gan, brarti nilai cos, sin, tan, cosec, secan, cotan nya psti sama jadi misalnya BAD = alpha dan DAC = beta trus pake rumus tan alpha = sin beta ? sorry klo salah gan :D masih kelas 3 smp ane :D blm ada materi trigono , cm pernah belajar diinternet aja hahahaha
berhubung videonya sudah dihapus, ane kasih stop motion nya aja ya gan, ane screenshot sendiri tanpa editan, simak bagi agan yg penasaran http://s.kaskus.id/images/2013/11/26/3153725_20131126082231.png http://s.kaskus.id/images/2013/11/26/3153725_20131126082454.png http://s.kaskus.id/ima
mengapa jika ∠A terbagi sama besar , yaitu <BAD = <DAC , maka berlaku perbandingan AB/AC = BD/DC ? ( segitiga ABC = segitiga siku-siku sama kaki ) http://s.kaskus.id/images/2013/11/23/5842072_20131123092854.jpg
Begini saya tidak membela siapapun disini , saya bahas masalah ini secara rinci agar tidak menimbulkan konflik berkepanjangan kita kalau melihat sesuatu apapun itu jangan dari negativenya saja begini Gamers itu ada yang bijak dan ada yang tidak , kalau kita bijak maka kita dapat membatasi waktu /
Begini saya tidak membela siapapun disini , saya bahas masalah ini secara rinci agar tidak menimbulkan konflik berkepanjangan kita kalau melihat sesuatu apapun itu jangan dari negativenya saja begini Gamers itu ada yang bijak dan ada yang tidak , kalau kita bijak maka kita dapat membatasi waktu /...
http://i.imgur.com/nf3ZMfr.png Tp gan yg nomer 4 itu klo dimasukin x nya 1 ga sama hasil ruas kiri dgn ruas kanan Klo ane gini gan , 10^1/2(x-2) = 10^-1 10^(1/2x -1) = 10^-1 1/2x - 1 = - 1 ,.... Kedua ruas dikali 2 X - 2 = -2 X = 0 Klo dibuktikan dgn memasukan x = 0 disoalnya itu jg ntar hasilny...
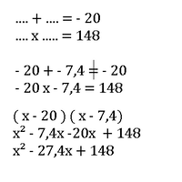
hahahahahahahaha... :ngakak Agan ini pasti pura2 gak tahu...... -(10 - x)^2 + x^2 = 48 -(100 - 20x + x^2) + x^2 = 48 -100 + 20x - x^2 + x^2 = 48 x^2 saling menghilangkan... 20x = 148 x = 7.4 oh iya gan ane lupa ( 10 - x)² itu terakhirnya x² nya positif , ane cara langsung sih jadinya salah
pengerjaan yang sebelah kanan teruskan saja... Nanti suku x kuadratnya saling menghilangkan... Dan ketemu x = 7.4 Good luck, Gan... tp kyny ga sesuai deh gan ? http://s.kaskus.id/images/2013/11/16/5842072_20131116093431.png
Ane Stuck Gan , 148 kyny bukan angka bersahabat gan buat di persamaan kuadratnya -_- ato mungkin gini gan DB² = 48 + AD² x² = 48 + ( 10 - x )² x² = 48 + 100 - 20x - x² 2x² = 148 - 20 x 2x = 128 x = 64 tapi 64 ga mungkin -_- kepanjangan ukurannya -_- http://s.kaskus.id/images/2013/11/15/584...
Hitung TU=(ST*PQ+TP*SR)/SP Hitung TV/PQ=TS/SP VW=TU-TV-WU gini bukan ? TU = ( 3 . 20 ) + ( 7 . 30 ) / 10 = 270 / 10 = 27 cm ST / SP = TV / PQ 3 / 10 = TV / 20 TV = 3 . 20 / 10 = 6 cm Karena segitiga PQS dan QPR kongruent , ataupun Segitiga PRS dan QSR kongruent juga maka TV = WU = 6
http://latex.codecogs.com/gif.latex?%5C%5C%5Coverrightarrow%7BOU%7D%3D%5Cfrac%7B3%5Coverrightarrow%7B OQ%7D+7%5Coverrightarrow%7BOR%7D%7D%7B3+7%7D%5C%5C%5C%5C%20%5Coverrightarro w%7BOT%7D%3D%5Cfrac%7B3%5Coverrightarrow%7BOP%7D+7%5Coverrightarrow%7BOS%7D %7D%7B3+7%7
Mohon bantuan gan :D Tentukan Panjang VW http://s.kaskus.id/images/2013/11/12/5842072_20131112093925.jpg
2a itu dari rumusnya, gan... http://latex.codecogs.com/gif.latex?%5C%5CS_%7Bn%7D%3D%5Cfrac%7B1%7D%7B2%7Dn%28a+U_%7Bn%7D%29%5C%5C%5 C%5C%20%5Ctext%20%7B%20sudah%20kita%20ketahui%20%3A%7D%5C%5C%5C%5C%20U_%7Bn %7D%3Da+%28n-1%29b%5C%5C%5C%5C%20%5Ctext%20%7B%20sehingga%20rumus%20%7D%20
jumlah empat bilangan pertama adalah 50 dan jumlah empat bilangan terakhir adalah 74 http://latex.codecogs.com/gif.latex?%5C%5CS_%7Bn%7D%3D%5Cfrac%7B1%7D%7B2%7Dn%282a+%28n-1%29b%29%5C%5C%5C%5C%2050%3D%5Cfrac%7B1%7D%7B2%7D%284%29%282a+%284-1%29b%29%5Ctext%7B%20..................
ane mau nanya gan bener ato engga :D soal dan jawaban ada di gambar :thumbup itu cara ane ga ada cara cepetnya lagi yah ? hahaha harus dibuktikan dlu klo semuanya ada 8 susun baru 15 x 8 susun = 120 cm http://s.kaskus.id/images/2013/11/02/5842072_20131102041427.jpg http://s.kaskus.id/image