gan dari BOGOR naik Commuter Line ke SMPN 98 Jakarta Jl. Raya Lenteng Agung Jagakarsa Kota Jkt Sel., Daerah Khusus Ibukota Jakarta 12610 turun stasiun apa naik apalagi gan? thankss
http://s.kaskus.id/images/2015/05/31/1571901_20150531074754.png Gan yang ini gimana ya? kok tiba-tiba nyambung kalor -_-
Misi gan mau tanya dong ane siswa pindahan, pindah kelas 1 semester 2 ngisi tahun masuknya jadi gimana ya? Terus tata cara siswa pindahan sama gak sih gan? untuk apa ada yang namanya web halo.sbmptn.or.id gan :cd fast respond kok dia http://s.kaskus.id/images/2015/05/22/1571901_20150522010118.png
Gan Kalo soal Matdas dan MatIpa materi yg gampang dikuasain apa yak? Sama urusan TKD itu yg pasti keluar materinya dan gampang dikerjain apaan ya? Soalnya ane ngejer 8% dari soal TKD. matdas fungsi gan gampang ada ngetriknya sama baris dan deret dan statiska(logika soalnya), klo tkd susah jg sih ga
Gan mau tanya dong ada yang punya data Matriks Bantu Pemilihan Jurusan (MBPJ) bimbel NF ga? Soalnya passing grade pada kurang akurat nih :capedes rada aneh jg gan yg nf soalnya FTTM tuh 750an sama kaya FTMD gtu padahal di web itb FTTM termasuk sangat tinggi, FTMD lebih tinggi(dibawah sangat ting...
gan liat rank jurusan univ dmn ya gan? ane les di nf sih cuma kan butuh referensi lain hehe soalnya mau tau gedean mana antara ftmd dengan elektro ui..
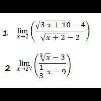
nanya 2 soal gan hehe http://s.kaskus.id/images/2015/04/28/1571901_20150428043643.jpg ------------------------------------------------------------------------------------------------------- Tujuh anak laki-laki dan tiga anak perempuan akan duduk berdampingan dalam satu baris. peluang kedua ujung ...
Dengan bantuan wolframalpha .. :D http://latex.codecogs.com/gif.latex?%5Cbegin%7Baligned%7D%20%26%5Cfrac%7B1%7D%7Ba+b%5E%7B-1%7D+1%7D+%5Cfrac%7B1%7D%7Bb+c%5E%7B-1%7D+1%7D+%5Cfrac%7B1%7D%7Bc+a%5E%7B-1%7D+1%7D%5C%5C%20%26%3D%5Cfr
I = ½ Io * cos² θ I = ½ Io * cos² 60° + ½ Io * cos² 30° I = ½ Io maaf gan masih bingung nentuin sudutnya gitu gan, kan ada tiga polaroid hehe itu knp jd 30 dan 60 saja?
Seberkas cahaya tidak terpolarisasi (cahaya alamiah) dengan intensitas Io diarahkan sepanjang sumbu-x melalui tiga polaroid P1, P2, dan P3. Sumbu polarisasi P1 dan P3 saling tegak lurus dan sumbu polarisasi P2 membentuk sudut 60 derajat terhadap P1. Intensitas cahaya yang keluar dari susunan pola...
Temen ente sotoy gan. Aturan jaman dlo sama skrg, beda. Skrg orang gk pnya tiket, gk blh msk stasiun (Jd gak mungkin ada pedagang brisik). Jadi gk mungkin ada asongan lg (Mau ekonomi - eksekutif) ACnya terasa kok gan adem. Baik KA Ekonomi biasa, sama ekonomi AC Central, sama2 adem ACnya jadi s
gw begitu, gan, hahaha ... jakarta-bandung, terus dari bandung naik malabar ... :ngakaks abis gimana, gw udah pake begadang, nglembur di kantor *inetnya kalo malem kecepatan dewa* tetep nggak dapet, ya, udah, pake jalur alternatif aja, hehehe ... tapi yg di Pejwan ada Kereta Ekonomi sama Ekono
gan naik kereta Ekonomi ada nyamannya gak sih gan? kata temen ane kaga gan soalnya berisik pedagang pagi2 pada masuk? tapi kalau sekarang gimana gan? katanya kan ada AC cuma ACnya tuh kerasa gak sih gan?
(1)Suatu daerah segitiga dibatasi garis 8x+7y=56, sumbu X dan Y. dari suatu titik pada garis tersebut dibuat garis tegak lurus pada sumbu X dan Y, sehingga terbentuk gambar sebagai berikut. http://s.kaskus.id/images/2015/04/11/1517796_20150411082912.png Luas maksimum daerah perpanjangan yang di
Miko melakukan tolak peluru dengan sudut elevasi 45drajat. Kecepatan awal peluru 4m/s. Apabila percepatan gravitasi 10, dan tinggi tolakan 1,6m dari tanah, jangkauan peluru adalah.. (akar 2 : 1,41 akar 10:3,16) Ane kan pake cara y = 1,6 + Vo sin 45 t - 1/2 g t^2 dpt t trus masukin ke vo cos 45 t. C
kalau dipanaskan, maka KClO3 akan terurai menjadi senyawa-senyawa yang lebih sederhana yaitu KCl dan O2. Tapi kalau KClO3 + O2 artinya senyawa KClO3 dibakar yang produk senyawanyapun ane belum tahu, karena jarang ditulis reaksi kimia KClO3 + O2. Reaksi kimia seperti KClO3 menjadi KCl + O2 atau K...
Pada suhu dan tekanan tertentu sebanyak 0,5L gas NO(Mr 30) memiliki massa 1.5g. Pada suhu dan tekanan yang sama, volume gas oksigen yg dihasilkan jika 49g KClO3(Mr 122,5) dipanaskan adalah... Ane ga nanya itungannya gan, ane nanya gmn caranya tau persamaan reaksi pemanasan KClO3? Bukannya KClO3 + O